《专利审查指南》规定无效宣告请求审查阶段,发明和实用新型专利文件的修改应仅限于权利要求书,其遵循的基本原则是:1.不得改变原权利要求的主题名称;2.与授权的权利要求相比,不得扩大原专利的保护范围;3.不得超出原说明书和权利要求书记载的范围;4.一般不得增加未包含在授权权利要求书中的技术特征。在满足上述修改原则的前提下,修改权利要求书的具体方式一般限于权利要求的删除、技术方案的删除、权利要求的进一步限定、明显错误的修正。
随着专利历史长河的发展,为解决化学领域中多个取代基基团没有共同上位概念可概括的问题,一种特殊的权利要求撰写方式应运而生,即马库什权利要求。由于其不同于一般权利要求,其保护的是具有一类通式的化合物,是否也可以按照上述方式在无效程序中进行权利要求的修改以期保住权利要求呢?
首先,简单了解下马库什权利要求,“马库什”最早源于美国专利申请US1506316,由美国化学家尤金∙马库什于1924年向美国专利商标局申请,提交了系列染料专利申请的撰写方式,并获得专利授权,从而确认了这种以化学通式来表征化合物权利要求的表述形式,自此马库什权利要求解决了化学医药领域多个取代基团没有上位概念概括的问题。
由于马库什权利要求撰写的特殊性,对其性质的理解在国内国际一直存在不同的解读。概括而言,对马库什权利要求的性质主要存在两种不同理解,即整体技术方案说和并列技术方案说。整体技术方案说,认为马库什通式中众多变量及其大量可选项的并列表述,并不能将马库什权利要求视为是明晰并列的具体化合物技术方案的集合,此类权利要求属于高度概括的权利要求撰写形式。并列技术方案说,认为无论马库什权利要求中包含有多少个变量,无论其中的每个变量包含有多少不同的选择项,理论上都可以通过数学方法计算出该马库什权利要求中具体包含的技术方案的数目,故马库什权利要求实际上相当于若干个具体化合物的并列或集合。
在经历了近十年从未停止的争论后,最高人民法院终于在(2016)最高法行再第41号案中,让马库什权利要求属性一锤定音,从而针对无效程序中能否进行马库什要素的删除式修改的争议也随之尘埃落定。
最高院在(2016)最高法行再第41号判决中指出马库什权利要求应当被视为马库什要素的集合,而不是众多化合物的集合,马库什要素只有在特定情况下才会表现为单个化合物,但通常而言,马库什要素应当理解为具有共同性能和作用的一类化合物。并且在该判决中阐述了马库什权利要求在无效程序中的修改方式。
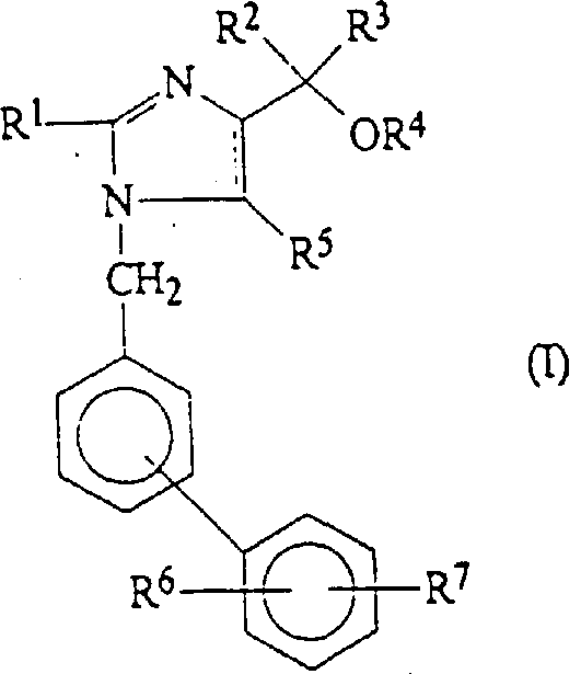
涉案专利CN1121859C的权利要求如下:一种制备用于治疗或预防高血压的药物组合物的方法,该方法包括将抗高血压剂与药物上的可接受的载体或稀释剂混合,其中抗高血压剂为至少一种如下所示的式(Ⅰ)化合物或其可用作药用的盐或酯,

权利要求1 通式化合物结构式
其中: R1代表具有1至6个碳原子的烷基;R2和R3相同或不同,且各自代表具有1至6个碳原子的烷基;R4代表:氢原子;或具有1至6个碳原子的烷基;R5代表羧基、式COOR5a基团或式-CONR8R9基团,其中R8R9相同或不同并各自代表:氢原子;含有1至6个碳原子的未被取代的烷基;含有1至6个碳原的被取代的烷基,该烷基被羧基取代或被其烷基部分含有1至6个碳原子的烷氧羰基取代;或R8和R9一起代表含有2至6个碳原子的被取代的亚烷基,该亚烷基被一个其烷基部分含有1至6个碳原子的烷氧羰基取代;以及其中的R5a代表:含有1至6个碳原子的烷基;烷酰氧烷基,其中的烷酰基部分和烷基部分各自含有1至6个碳原子;烷氧羰基氧烷基,其中的烷氧基部分和烷基部分各自含有1至6个碳原子;(5-甲基-2-氧代-1,3-二氧杂环戊烯-4-基)甲基;或2-苯并[c]呋喃酮基;R6代表氢原子;和R7代表羧基或四唑-5-基。
专利权人在无效阶段提出的修改内容,其中包括:删除权利要求1中R4定义下的“具有1至6个碳原子的烷基”;删除了权利要求1中R5定义下除羧基和式COOR5a外的其他技术方案。
针对上述修改,专利复审委认为上述修改不符合专利法实施细则第六十八条规定,未接受该修改文本。经过一审、二审以及再审程序,最终最高人民法院认可了复审委员会的决定。
最高人民法院认为:马库什权利要求应被视为马库什要素的集合,并非众多化合物的集合。其通常是一种概括性的技术方案,符合专利单一性原则,各马库什要素构成具有共同性能和作用的一类化合物,只有在特定情况下才表现为单个化合物,纠正了二审判决中认为马库什权利要求属于并列技术方案的不妥观点。并指出鉴于化学发明创造的特殊性,同时考虑到在马库什权利要求撰写之初,专利申请人为了获得最大的权利保护范围就有机会将所有结构方式尽可能写入一项权利要求,因此在无效阶段对马库什权利要求进行修改必须给予严格限制,允许对马库什权利要求进行修改原则应当是不能因为修改而产生新性能和作用的一类或单个化合物,但是同时也要充分考量个案因素。如果允许专利申请人或专利权人删除任一变量的任一选项,即使该删除使得权利要求保护范围缩小,不会损伤社会公众的权益,但由于是否会因此产生新的权利保护范围存在不确定性,不但无法给予社会公众稳定的预期,也不利于维护专利确权制度稳定。
在修改的标准方面,最高院指出对马库什要素进行删除式修改应当考虑化学发明创造性的特殊性,并充分考量个案因素,在满足“不能因为修改而产生新性能和作用的一类或单个化合物”原则的前提下,可以做适度修改。
该案的判决可谓是马库什权利要求在中国发展的里程碑,不仅明确了马库什权利要求的性质,也奠定了马库什权利要求在后续无效程序中修改的基调。
接下来,我们再通过一个判例来充分理解下马库什权利要求在无效程序中的修改要求:参考(2021)最高法知行终第519号。
涉案专利CN1122442C涉及一种杀真菌混剂,包括重量比为10∶1-0.01∶1的a.1)结构式为Ⅰ.d的氨基甲酸酯,

其中X是CH和N,n是0、1或2以及R是卤素、C1-C4-烷基和C1-C4-卤素烷基,如果n=2,R可以是不同基团,或它们的盐或加合物,和b)来自苯并咪唑或产生苯并咪唑的前体(Ⅱ)一类的杀真菌活性化合物,所述苯并咪唑或产生苯并咪唑的前体(Ⅱ)选自以下化合物,
Ⅱ.a:1-(丁基氨基甲酰基)苯并咪唑-2-基氨基甲酸甲基酯

Ⅱ.b:苯并咪唑-2-基氨基甲酸甲基酯

Ⅱ.c:苯并咪唑-2-基氨基甲酸2-(2-乙氧基乙氧基)乙基酯

Ⅱ.f:4,4’-(邻-亚苯基)双(3-硫代脲基甲酸甲酯)

为克服支持性及创造性缺陷,专利权人在无效答辩的意见陈述书中提交了4份修改文本。
其中修改文本1: 将权利要求1中的“X是CH和N,n是0、1或2以及R是卤素、C1-C4烷基和C1-C4-卤素烷基,如果n=2,R可以是不同基团,或它们的盐或加合物”,修改为“X是CH,n是1以及R是卤素或它们的盐或加合物”,删除了权利要求1中的Ⅱ.b和Ⅱ.c。
针对该修改文本,国家知识产权局认为权利要求1是马库什权利要求的限定方式,是一种概括性的组合方案,而专利权人的修改是马库什要素的删除,而非并列技术方案的删除,修改文本1的修改方式不能被接受。
在修改文本1不能接受的情况下,专利权人又提出修改文本2-4。其中,修改文本2:将权利要求1中的“X是CH和N”,修改为“X是CH”。针对该修改,国家知识产权局认为该修改方式也属于马库什要素的删除,同样不能视为并列技术方案的删除,也不能被接受。
由于专利权人对上述无效决定不服,依次上诉,北京知识产权法院一审判决认为,马库什权利要求原则上应被视为一个技术方案而并非并列技术方案的集合,专利权人主张的删除“X是N”属于技术方案的删除的主张并不能成立。之后最高人民法院作出(2021)最高法知行终第519号二审行政判决,其认为一审判决并无不当,并且指出专利权人并非以其所称的“二选一”的方式进行修改,并且也认为专利权人所称的本专利权利要求1的通式只有有限变量选择的主张也缺乏依据。
修改文本3:将权利要求1中的“X是CH和N,n是0、1或2以及R是卤素、C1-C4烷基和C1-C4-卤素烷基,如果n=2,R可以是不同基团,或它们的盐或加合物”修改为“X是CH,n是1以及R是C1,即吡唑醚菌酯”,删除了权利要求1中的Ⅱ.b和Ⅱ.c。
修改文本3将权利要求1中的通式化合物修改为仅在说明书中记载而未被明确记载在权利要求中的具体化合物,其中一审判决认为即便无效阶段的修改不应绝对限于《专利审查指南》中规定的4种形式(权利要求的删除、技术方案的删除、权利要求的进一步限定、明显错误的修正),也并不当然意味着修改文本3应被接受。该修改是否可被接受需从修改制度的利益基础角度分析。综合考虑,修改文本3不被接受符合社会公众的合理预期,较好地平衡了专利权人利益与社会公众利益。之后最高人民法院作出(2021)最高法知行终第519号二审行政判决认为一审判决并无不当。
修改文本4:仅删除权利要求1中的Ⅱ.b 和Ⅱ.c。该修改方案未涉及马库什要素的删除,方案修改被接受。
从上述判例中可以看出,通过删除通式化合物取代基中可变基团的方式对马库什权利要求进行修改,不会当然被认为是“并列技术方案的删除”的修改方式,而是定义为马库什要素的删除,而这种删除一般是不被接受的,上述修改文本1和修改文本2的认定充分说明了这一点。
针对修改文本3的认定,即将通式化合物修改为仅在说明书中记载而未被明确记载在权利要求中的具体化合物,也是不被接受的。但对于修改文本4的认定,这种修改方式被接受,可以看出涉及马库什权利要求的修改仅涉及马库什通式之外的其他并列元素的选择性删除,而不涉及马库什通式中变量要素的重新选择式删除,这种删除式修改一般是可以被接受的。
综合以上,可以看出对马库什权利要求经(2016)最高法行再第41号判决一锤定音后,其视为“整体”的概念在国内已是共识,因此在无效程序中对马库什要素的删除应当归属于对整体技术方案中的某个或某些技术特征的删除,由于马库什权利要求具有高度概括性,其保护范围可以涵盖数量可观的化合物,其删除式的修改方式可能会带来无法预料的结果,为了维护专利公示的稳定性,以及专利权人和社会公众之间的利益平衡,在无效程序中对马库什要素的删除式修改是严格限制的,这种修改不能简单套用审查指南关于修改方式的一般性规定,而具有其“特殊性”,一般不允许对马库什权利要求的任一要素进行任意的删除式修改。
作者:品源知识产权管理咨询 刘麒







首页
电话咨询
联系方式